北京评估公司排名_联合资信评估公司图片(3)
作者: 来源: 时间:2021年08月12日
计算机专业录取分数最高的大学有哪些 附排名前50大学名单
福利│自招竞赛 小白 必看 小心被 套路
2011限购政策影响评估报告 三
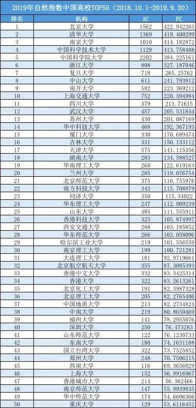
北大跃升至全球第五,清华 南大 中科大进前十,自然指数发威
北京8所双一流大学王牌专业排名,外省能考上都是万里挑一
新一轮教育评估结果,双一流高校排名再次更改,一起来看看吧
退休版城市幸福排行榜出炉合肥市排名第24
最新 天津高校综合实力重新排名 快给你的母校投票
国内材料科学与工程十大强校,清华第一,前三竟有两所 211
这6所师范类院校师资力量雄厚,北师大高居首位,值得报考
即墨这几个地方成全省典型 还有这个榜单,青岛与上海并列
472家银行理财能力大排名,涉河南6家金融机构
北大跃升至全球第五,清华 南大 中科大进前十,自然指数发威
延伸阅读:
| 手机cpu性能排行_手机cpu性能排行榜2023-08-04 |
| 佛祖的排名_佛教佛祖排名一览表2021-08-20 |
| 伦理片排名_2017年伦理片免费观看2021-07-24 |
| 火山主播排名_小火山主播揪痧视频2021-08-21 |
| 步兵女神排行_业界十位岛国知名步兵女神2023-09-06 |
| 环太平洋机甲排名_环太平洋机甲图片2021-08-21 |
| gv排名_日本gv男演员名字大全2021-07-23 |
| 乳量排名_神奇宝贝乳量排名图片2021-09-18 |
| 姓叶排名_姓叶的微信头像图片2021-09-19 |
| 斗鱼土豪排名_斗鱼主播祖祖土豪定制2021-09-20 |
新榜速递
最新专题








