调剂排名_服从调剂的图片(3)
作者: 来源: 时间:2021年08月20日
懵 该校要求一志愿上线填报调剂系统 罕见 7所985接受校外调剂 多所院校拟录取名单已公布
民办调剂志愿 浦外和上中东录取结果全出炉 竟有区内强校调剂志愿录取129人
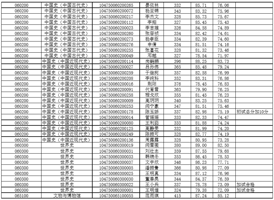
最高427份 河北师范大学2020年历史学考研最新统计
懵 该校要求一志愿上线填报调剂系统 罕见 7所985接受校外调剂 多所院校拟录取名单已公布
2019年第二批广东社工 双百计划 补录社工拟录用人员名单公示
吉林省公布237名直招士官预定兵名单
快看 吉林省公布237名直招士官预定兵名单
快看 吉林省公布237名直招士官预定兵名单
吉林省公布237名直招士官预定兵名单
吉林省公布237名直招士官预定兵名单
2021年研招国家线出炉,多数专业降分了,二区线比一区线低10分
湛江补录2人 第二批广东社工招聘补录名单公布
快看 吉林省公布237名直招士官预定兵名单
延伸阅读:
| 手机cpu性能排行_手机cpu性能排行榜2023-08-04 |
| 佛祖的排名_佛教佛祖排名一览表2021-08-20 |
| 伦理片排名_2017年伦理片免费观看2021-07-24 |
| 火山主播排名_小火山主播揪痧视频2021-08-21 |
| 步兵女神排行_业界十位岛国知名步兵女神2023-09-06 |
| 环太平洋机甲排名_环太平洋机甲图片2021-08-21 |
| gv排名_日本gv男演员名字大全2021-07-23 |
| 乳量排名_神奇宝贝乳量排名图片2021-09-18 |
| 姓叶排名_姓叶的微信头像图片2021-09-19 |
| 斗鱼土豪排名_斗鱼主播祖祖土豪定制2021-09-20 |
新榜速递
最新专题











