甘肃2020年文科569排名_最新!2020年甘肃高考成绩分段表出炉理科600分以上
最新!2020年甘肃高考成绩分段表出炉 理科600分以上2183人文科...
省教育考试院7月23日公布了2020年甘肃省普通高等学校招生考试成绩分段表.从表中可以看到,理工类685分以上14人,本科一批院校录取最低控制分数线(...
甘肃多县(市)2020年高考文、理科第一名出炉!
CLICK HERE TO FOLLOW US 昨天(7月23日)甘肃2020年高考成绩放榜 甘肃省普通高校招生录取 最低控制线公布 随着甘肃2020高考放榜 甘肃多县、市文、...
2020年甘肃高考分数线公布:文科一本线520分,理科一本线458分(...
这几天,各省市2020高考分数线将陆续公布,甘肃也已经正式“放榜”. 今天,甘肃公布了甘肃省2020年各批次高考录取最低分数线,同时官网还公布了艺术...
甘肃一本线;各省一本线;甘肃一本线2020;甘肃历年一本线;甘肃高考分数线2020;一本分数线一般是多少;甘肃一本线近五年;甘肃一本线2019;2019年甘肃一本线估计;2019甘肃多少分能上一本;甘肃一本线预测;甘肃文科一本线;甘肃一本大学有哪些;
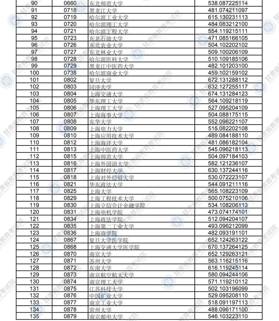
2020年甘肃省普通高校招生录取本科一批普通类(I段)理工类院校投...
3.部分院校有多种招生类型,同一所院校会出现不同的投档最低分,具体请根据院校代号对照《2020年甘肃省普通高校招生专业目录》.
2020年各省文科投档前10高校出炉,第一与第十最高相差40多分
近期,2020年高考各省文科投档分数线前十高校出炉,不同高校在同一省份投档线差别还是不小的,根本不像理科,高校与高校之间也就一分之差.这从侧面说...
庆祝甘肃清华校友会“慕华成志”励学金授予2020年甘肃文科状元
11月18日,在甘肃省清华大学校友会“慕华成志”励学金颁发仪式上,甘肃省清华大学校友会马文杰会长为2020年甘肃省文科状元杨婷婷颁发“励学金”证书...
2020年甘肃省普通高校招生高职(专科) 批R段第二次征集志愿公告
各位考生:全省普通高等学校招生高职(专科)批R段第一次征集志愿录取工作已结束.现对本次征集志愿工作说明如下:1、高职(专科)批R段文科、理科征...
软科2020中国大学新生质量排名出炉 清北国科大前三
新京报讯(记者 戚望)5月26日,软科发布了2020中国大学新生质量排名(下称“排名”),清华大学、北京大学、中国科学院大学占据前三名. 根据排名,...
2020软科中国大学排名;软科排名;2020软科大学排名完整版;qs中国大学排名;软科2019中国大学排名;2020软科排名总榜;软科是什么意思;校友会排名;2020中国学校排名;软科中国大学排行榜;校友会和软科哪个权威;中国软科大学全国排名;软科排名2020;2020年软科国内大学排名;
| 泡面番排行榜_十部泡面番推荐:看完整部动漫2021-09-22 |
| 2020恩施州经济排名_2019年度湖北恩施州各区2020-12-10 |
| h文排行榜_三本顶级开荤爽文,男主强取豪夺2023-09-22 |
| 福州2020中考初中排名_从一三附升学率看202020-12-01 |
| 上海人气美食排行榜_闯荡上海10年,美食主持2021-08-05 |
| 黑人男优排行_顶级黑人男演员前10排行榜,威2021-09-27 |
| 十大氢弹排名2020_全球十大核武器排行:俄罗2020-11-06 |
| 2021姓氏排行榜_2021百家姓最新排名一览2021-12-26 |
| 金华中考成绩2020排名_2020金华中考成绩公布2020-12-18 |
| 8005稀有冠号排行_8005的这些冠号记得收藏2022-12-08 |






