2020年甘肃省初中排名_强势来袭!2020年甘肃省第二届中学生排球联赛昨晚盛
强势来袭!2020年甘肃省第二届中学生排球联赛昨晚盛大启幕
甘肃省第二届排球联赛会旗 第一次在定西这片热土上高高飘扬. 代表着激情、丰收、希望的甘肃省第二届排球联赛会徽 “阳光体育,强身健体”是本次排球联...
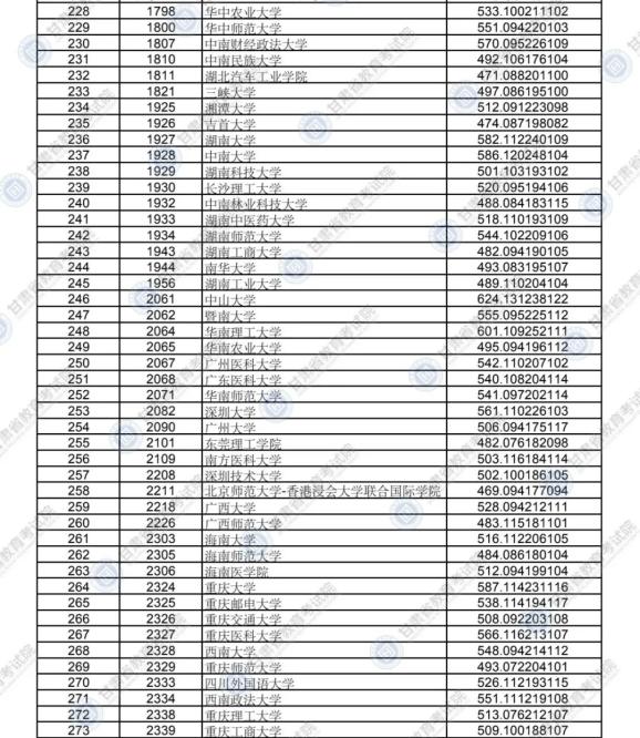
2020年甘肃高考本科一批普通类(I段)投档最低分公布
部分院校有多种招生类型,同一所院校会出现不同的投档最低分,具体请根据院校代号对照《2020年甘肃省普通高校招生专业目录》. 说明 1.投档最低分含排...
最新!2020年甘肃高考成绩分段表出炉 理科600分以上2183人 文科...
省教育考试院7月23日公布了2020年甘肃省普通高等学校招生考试成绩分段表.从表中可以看到,理工类685分以上14人,本科一批院校录取最低控制分数线(...
甘肃兰州2020高考,西北师大附中创佳绩,5人名列全省文理前3强
在2020年的高考中,西北师大附中,这所甘肃省重点高中之中的“执牛耳者”考得怎么样?让我们一起来了解一下! 西北师大附中简介 全名为“西北师范大学...
西北师大附中2020高考;西北师大附中喜报;兰州师大附中高考成绩;兰州一中2020高考喜报;西北师大附中官网;甘肃2020年考生数;兰州一中高考喜报;甘肃高考状元2020;西北师大附中2020高考榜;兰州师大附中2020招生线;西北师大附中官网入口;西北师大附中老师名单;西北师大附中2020高考加油;西北师大附中2020录取名单;甘肃省理科状元;师大附中录取分数线2020;
甘肃宕昌县2020年中考今日开锣
2020年7月16日,甘肃陇南全市高中阶段学校招生考试如期进行.今年宕昌县共有3464名考生参加,全县共设5个考点,119个考场.由于受新冠肺炎疫情影响...
甘肃省2020年下半年教师资格认定公告
原标题:甘肃省2020年下半年教师资格认定公告甘肃省2020年下半年教师资格认定公告 根据《中华人民共和国教师法》《教师资格条例》《〈教师资格条例〉...
2020京东“双十一”期间甘肃消费者购买力排名全国第26位
每日甘肃网讯(新甘肃·每日甘肃网记者 冀晋存)今日,记者从京东方面获悉,2020年京东双11期间,甘肃省购买力排名位居全国第26位,成交额同比增长表...
甘肃武都:2020年教育工作稳步提升
图为武都二中2020届高三毕业学生在操场合影留念 今年,武都区城关中学以全科合格率30.7%的成绩,在全区初中阶段综合考评中获得第二名的优异成绩.在谈...
| 泡面番排行榜_十部泡面番推荐:看完整部动漫2021-09-22 |
| 2020恩施州经济排名_2019年度湖北恩施州各区2020-12-10 |
| h文排行榜_三本顶级开荤爽文,男主强取豪夺2023-09-22 |
| 福州2020中考初中排名_从一三附升学率看202020-12-01 |
| 上海人气美食排行榜_闯荡上海10年,美食主持2021-08-05 |
| 黑人男优排行_顶级黑人男演员前10排行榜,威2021-09-27 |
| 十大氢弹排名2020_全球十大核武器排行:俄罗2020-11-06 |
| 2021姓氏排行榜_2021百家姓最新排名一览2021-12-26 |
| 金华中考成绩2020排名_2020金华中考成绩公布2020-12-18 |
| 8005稀有冠号排行_8005的这些冠号记得收藏2022-12-08 |






