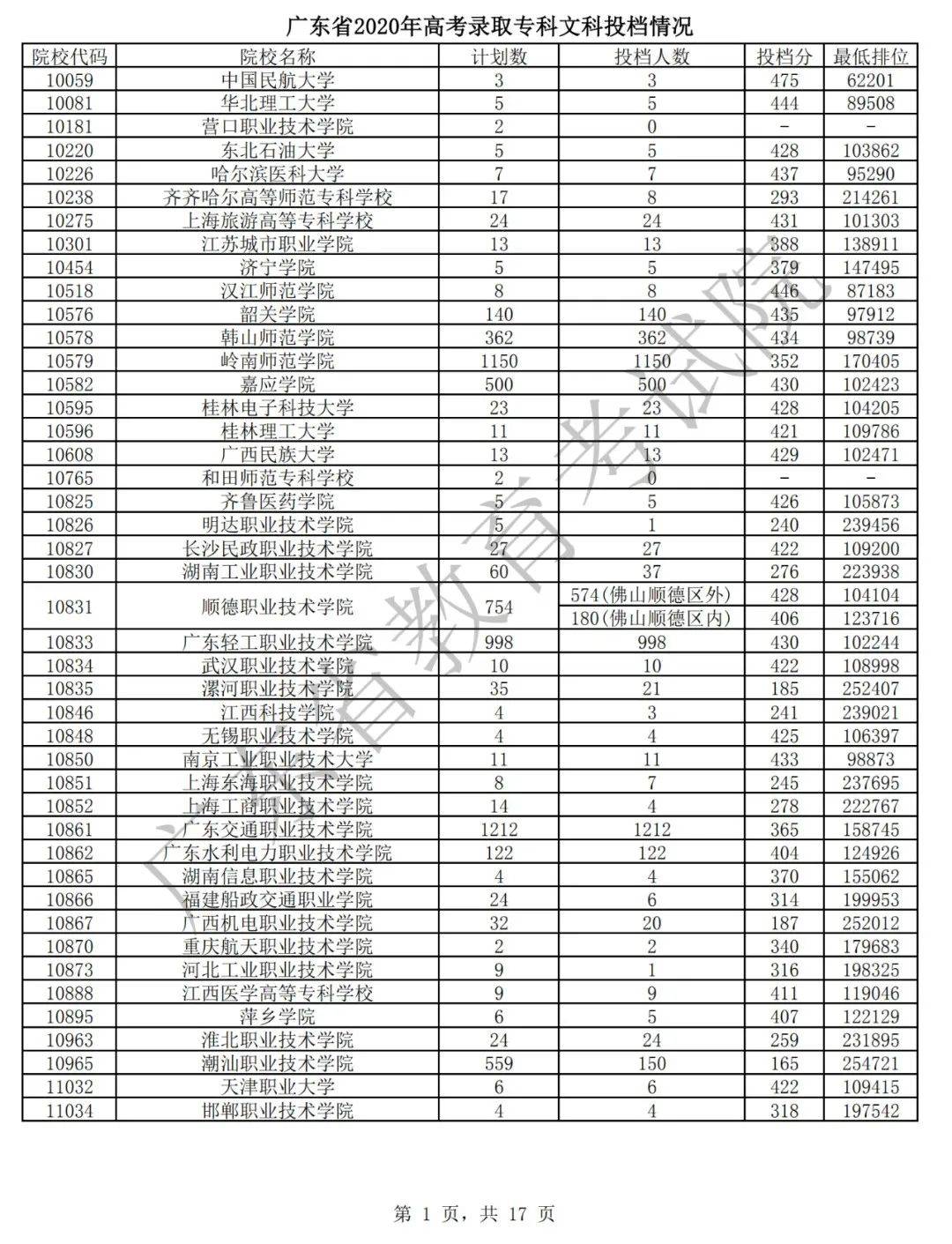
2020年广东省专科学_广东省2020年专科批次普通文理类投档情况出炉!
广东省2020年专科批次普通文理类投档情况出炉!
广东省教育考试院 责任编辑: 声明:该文观点仅代表作者本人,搜狐号系信息发布平台,搜狐仅提供信息存储空间服务. 阅读 ( )
2020年广东高考录取专科体育类、艺术类统考投档情况出炉
羊城晚报全媒体记者孙唯、通讯员粤考宣报道:8月30日,广东省教育考试院发布了2020年高考录取专科体育类、艺术类统考投档情况.总体来看,今年专科批...
广东2020年专科批次缺额院校8日10时开始第二次征集志愿
见圳客户端·深圳新闻网2020年9月7日讯 (深圳特区报记者 严俊伟 通讯员 粤考宣)广东省教育考试院9月7日消息,截至9月7日,经过第一次征集志愿录取,我...
2020年广东职称认定改革,专技人才更容易评职称!
为广东经济社会高质量发展提供强大的人才支撑.截至2020年6月底,全省专业技术人才694万人,其中高层次人才81万人.与去年同期相比,新增专技人才58万...
广东东软学院2020年招聘需求
广东东软学院是经国家教育部批准设立,由东软出资举办的一所民办普通高等院校.2003年经广东省人民zf批准,成立南海东软信息技术职业学院,开展高职...
广东东软学院2020招聘;广东东软学院人事处;广东东软学院国际学院;广东十佳民办大专;广东东软学院外事专员;广东东软学院辅导员;广东东软学院底薪;广东东软学院教职工周工作;广东东软学院应聘;广东东软学院高校人才网;广东东软学院教师应聘流程;
2020年广东药学全日制大专院校
广东省四年制应用型本科人才 (高级技术技能型人才)培养试点的学生在广州城市职业学院学习期间住宿费按该校标准执行.
广东专科批次缺额院校今日第二次征集志愿
中国计算化学的奠基人、中国科学院院士、北京师范大学化学学院教授刘若庄先生因病医治无效,于2020年10月8日零时三十五分在北京逝世,享年95岁. 近期...
9月1日广东专科批次普通文理类开始投档,个别院校投档分超本科线
9月1日,广东省对专科批次普通文理类院校开始投档,共投出考生137147人,其中文科类投出52599人,理科类投出84548人.从投档情况看,主要呈现以下四...
| 泡面番排行榜_十部泡面番推荐:看完整部动漫2021-09-22 |
| 2020恩施州经济排名_2019年度湖北恩施州各区2020-12-10 |
| h文排行榜_三本顶级开荤爽文,男主强取豪夺2023-09-22 |
| 福州2020中考初中排名_从一三附升学率看202020-12-01 |
| 上海人气美食排行榜_闯荡上海10年,美食主持2021-08-05 |
| 黑人男优排行_顶级黑人男演员前10排行榜,威2021-09-27 |
| 十大氢弹排名2020_全球十大核武器排行:俄罗2020-11-06 |
| 2021姓氏排行榜_2021百家姓最新排名一览2021-12-26 |
| 金华中考成绩2020排名_2020金华中考成绩公布2020-12-18 |
| 8005稀有冠号排行_8005的这些冠号记得收藏2022-12-08 |


