辽宁专科学校排名_辽宁高考生,专科投档最低分公布!
作者: 来源: 时间:2020年12月01日
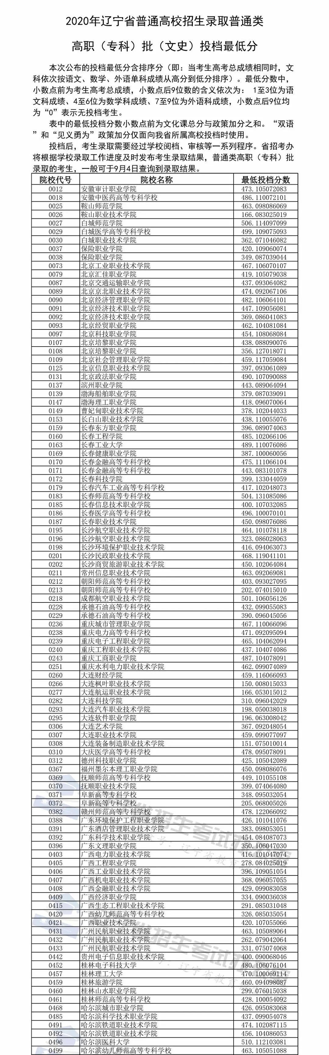
辽宁高考生,专科投档最低分公布!
省招考办将根据学校录取工作进度,及时发布考生录取结果.普通类高职(专科)批录取的考生,一般可于9月4日查询到录取结果. 来源:辽宁日报《北国》新...
辽宁公布普通类高职(专科)批投档最低分
今年,辽宁文科本科控制分数线是472分,超过这一分数线的专科高校为49所.文科的情况与理科相似,出现高分数段的院校也集中在医学、师范、民航等类别....
2020年辽宁省有口腔医学专科学校-辽宁口腔牙科学校排名情况
辽宁省口腔医学专科学校有哪些? 截止到2020年,辽宁省 口腔医学专业 只有本科院校,全省大专院校均未开设口腔医学专业,本省学生口腔医学专科只能报考...
辽宁这所大学很“憋屈”,明明是重点大学,但常被误认是专科
却常被误认成专科.辽宁工程技术大学辽宁工程技术大学位于辽宁省阜新市,有七十多年的建校历史了,学校经过了时间的沉淀,现在学校的教学设备已经非...
老师讲解辽宁省口腔医学专业专科学校排名及录取分数情况
老师讲解辽宁省口腔医学专业专科学校排名及录取分数情况... 2020年,辽宁省 口腔医学专业大专院校只有一所: 辽东学院(本科院校)里面设有口腔医学专科批...
辽宁“退步”明显的大学,以前排名省内第一,如今退居第二
相比学校以往的辉煌历史,学校可能是目前辽宁省退步比较明显的211高校.但是学校其实在计算机方面也有着比较大,最具代表性的就是东北大学下属的东软...
辽宁专科2020年录取分数线 59所大学 多所院校投档线超本科控制线
辽宁省2020年高考招生中,共计有59所省内大学设置有专科批次的招生计划,其中有17所院校属于本科大学,纳贝斯特教育整理了这59所大学2020年辽宁省内...
沈阳最好的3所大专院校,专业突出,就业无忧,值得关注
一、辽宁省交通高等专科学校学校创建于1951年,时称东北交通学校,1954年6月更名为交通部沈阳公路工程学校,1958年8月更名为辽宁交通学院,1963年...
延伸阅读:
| 泡面番排行榜_十部泡面番推荐:看完整部动漫2021-09-22 |
| 2020恩施州经济排名_2019年度湖北恩施州各区2020-12-10 |
| h文排行榜_三本顶级开荤爽文,男主强取豪夺2023-09-22 |
| 福州2020中考初中排名_从一三附升学率看202020-12-01 |
| 上海人气美食排行榜_闯荡上海10年,美食主持2021-08-05 |
| 黑人男优排行_顶级黑人男演员前10排行榜,威2021-09-27 |
| 十大氢弹排名2020_全球十大核武器排行:俄罗2020-11-06 |
| 2021姓氏排行榜_2021百家姓最新排名一览2021-12-26 |
| 金华中考成绩2020排名_2020金华中考成绩公布2020-12-18 |
| 8005稀有冠号排行_8005的这些冠号记得收藏2022-12-08 |
新榜速递
最新专题

