2020甘肃二本大学排名_2020年甘肃省大学质量排名:兰州大学获榜首、甘肃农
2020年甘肃省大学质量排名:兰州大学获榜首、甘肃农业第五名
2020年甘肃省大学综合质量排名榜单 ,想知道甘肃省哪所大学发展的比较好,最直观的办法还是从榜单上获取.那么在甘肃省内,到底这些大学的实力排名究...
甘肃一本二本大学2020年分数线 22所大学最低投档线372分
甘肃省本科院校数量相对较少,在2020年的高招中,一本、二本大学共计有22所,甘肃省内没有民办本科大学,仅有5所独立学院,不过也算是民办性质,在...
科普好的大专院校有哪些及2019甘肃二本大学排名
甘肃专科院校高校排名 排名 学校名称 等级 1 兰州资源环境职业技术学院4 2 兰州石化职业技术学院4 3甘肃林业职业技术学院4 4 酒泉职业技术学院4 5 武威职...
2018年甘肃二本大学排名
甘肃二本大学最新排名【公办】 在甘肃公办二本大学排名中,甘肃中医药大学排名第一,甘肃政法学院排名第二,河西学院排名第三. 地区排名学校名称全国排...
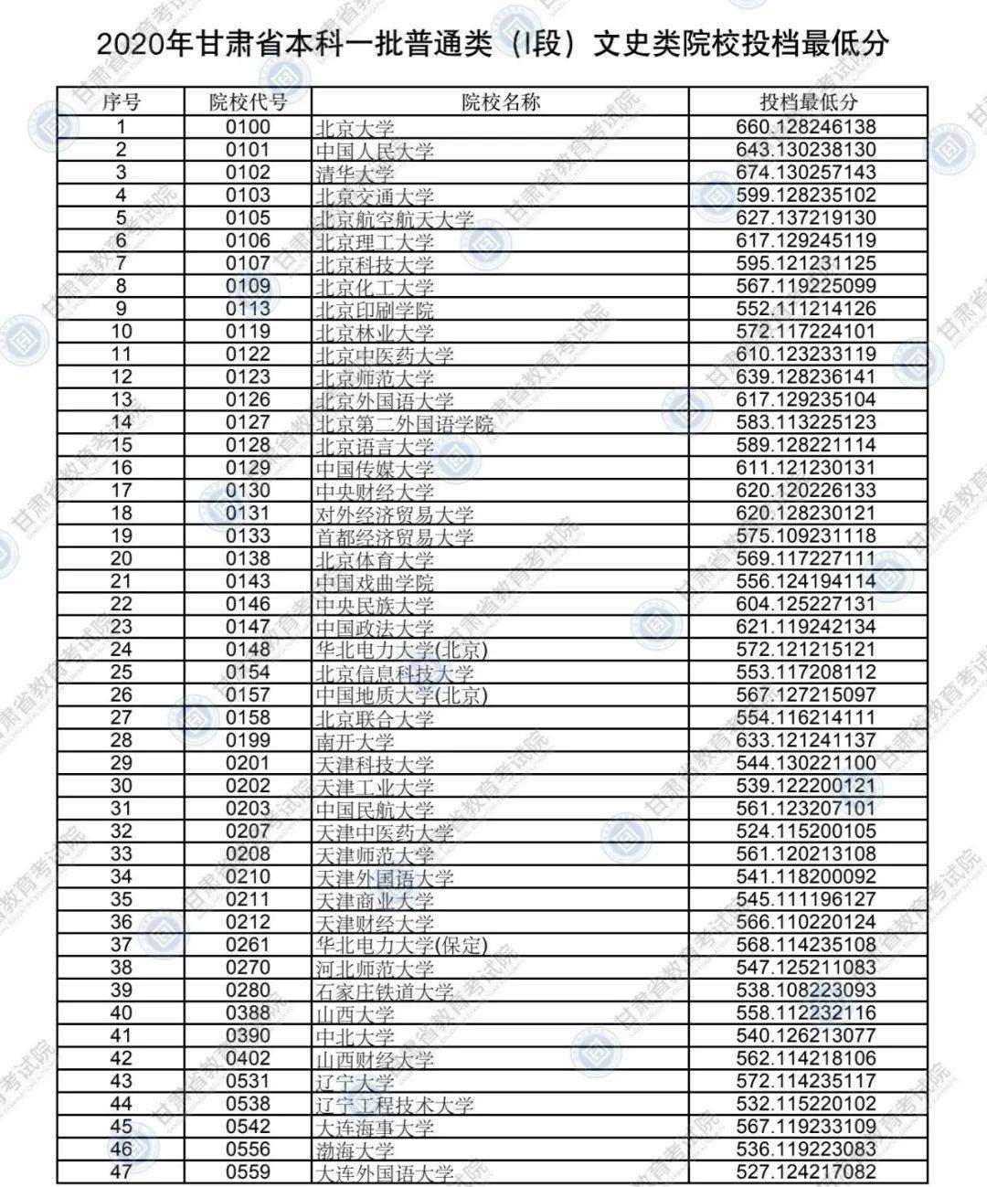
2020年甘肃高考本科一批普通类(I段)投档最低分公布
2020年甘肃省普通高校招生录取本科一批普通类(I段)理工类院校投档最低分 说明 1.投档最低分含排序分,按考生总分(文化课成绩+照顾政策分)从高到低排...
甘肃2020本科一批普通类(I段)投档最低分
具体请根据院校代号对照《2020年甘肃省普通高校招生专业目录》. 说明 1.投档最低分含排序分,按考生总分(文化课成绩+照顾政策分)从高到低排序(即:...
甘肃二本大学排名一览表-2018-2019甘肃二本大学排名
甘肃省共有14所二本大学参与了排名,其中排名第一的是兰州交通大学,排名第二的是兰州财经大学,排名第三的是甘肃中医药大学,以下是甘肃省所有二本大...
甘肃二本大学排行榜;甘肃二本大学排名;兰州的二本大学;甘肃最差的二本院校;甘肃二本大学名单;甘肃所有二本院校;甘肃省内二本院校排名;甘肃二本学校;甘肃二本大学有哪几个;甘肃二本大学;甘肃民族师范学院;甘肃政法学院;兰州交通大学;兰州理工大学;兰州文理学院;甘肃农业大学;
2020软科中国大学排名发布,甘肃高校排名分别为...
2020软科中国大学排名发布甘肃高校排名分别为.. 高等教育评价机构软科5月15日正式发布“2020软科中国大学排名”,清华大学、北京大学、浙江大学占据主...
| 泡面番排行榜_十部泡面番推荐:看完整部动漫2021-09-22 |
| 2020恩施州经济排名_2019年度湖北恩施州各区2020-12-10 |
| h文排行榜_三本顶级开荤爽文,男主强取豪夺2023-09-22 |
| 福州2020中考初中排名_从一三附升学率看202020-12-01 |
| 上海人气美食排行榜_闯荡上海10年,美食主持2021-08-05 |
| 黑人男优排行_顶级黑人男演员前10排行榜,威2021-09-27 |
| 十大氢弹排名2020_全球十大核武器排行:俄罗2020-11-06 |
| 2021姓氏排行榜_2021百家姓最新排名一览2021-12-26 |
| 金华中考成绩2020排名_2020金华中考成绩公布2020-12-18 |
| 8005稀有冠号排行_8005的这些冠号记得收藏2022-12-08 |




