2020天津中考成绩排名_天津2020年中考分数线——中考新政策
天津2020年中考分数线——中考新政策
2020年天津中考录取分数线情况: 市九所 天津一中:567.5 南开中学:565 耀华中学:563 新华中学:560 实验中学:558.25 实验中学王克昌班557 第二中学...
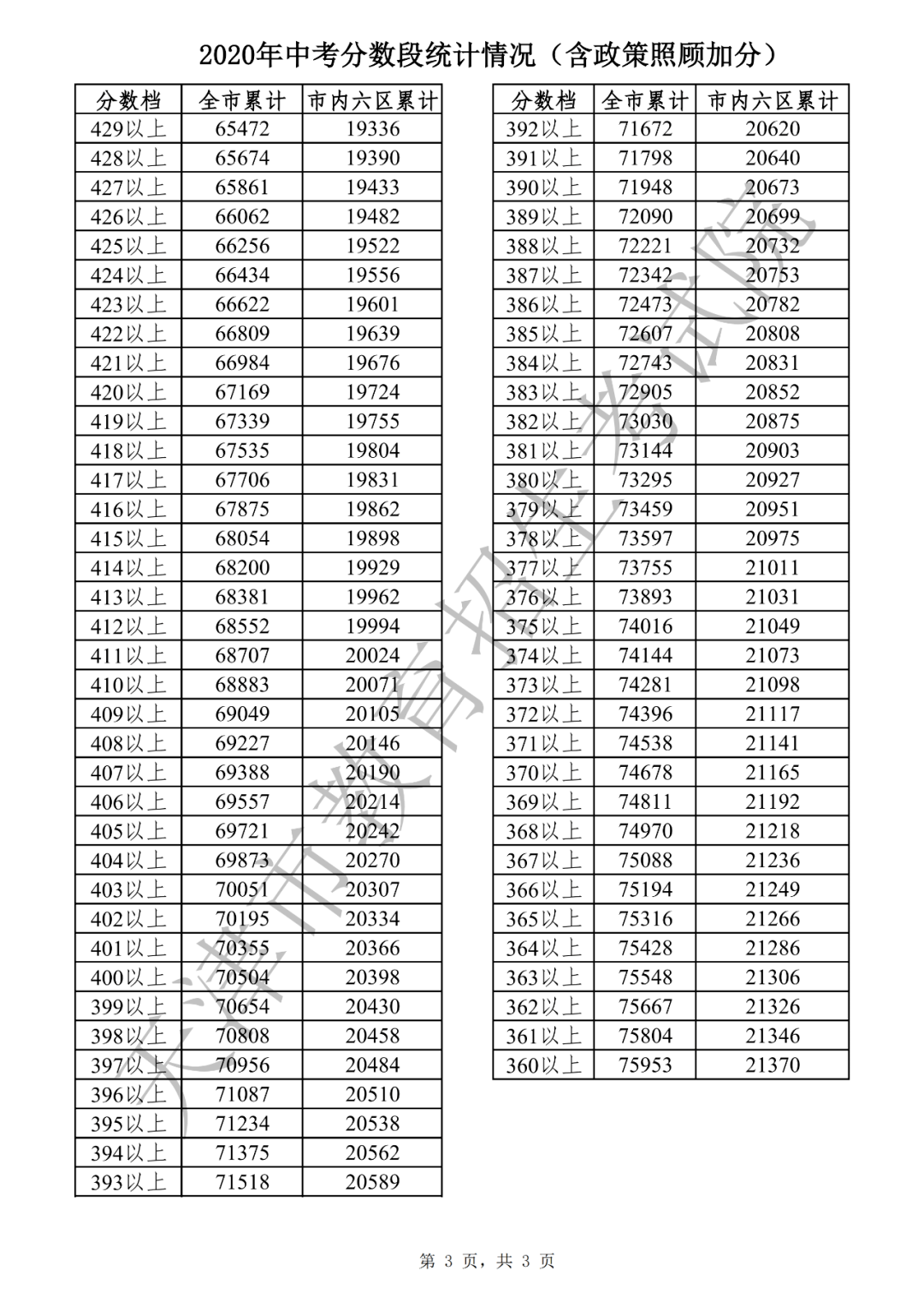
2020天津中考分数段公布!全市总平均分422.59分
从市教育招生考试院获悉,经过全市1100余名教师夜以继日的工作,2020年初中毕业生学业考试评卷和成绩合成工作日前全部结束. 今年本市初中毕业生学业考...
天津家长注意了!2020年高考分数分布、中考择校指南...都在这里了!...
476分(2019年本科线理工类400分,文史类428分) 700分 以上 241 人(2019年43人) 600分 以上 14300 人(2019年6287人)2020天津市普通高考分数档(...
2020年天津高中排名,高中高考成绩排名一览表
天津高中高考成绩排名榜 02月13日2020年天津中考分数线预测,天津中考各高中录取分数线数据分析 01月31日2020年天津最好的高中排名,天津重点高中名...
天津高考投档线排名2020,各大学在天津投档分数线查询
2020年天津高考文理科大学投档线查询天津高考考生和家长在填报志愿的时候,经常会出现一些我们不了解的名词术语.比如说天津高考投挡分数线,每一所...
2020年天津中考录取分数线(已公布)
天津市中考总分值为590分,其中学业考试成绩分值为560分,体育考试平时成绩分值为18分,体育考试统一测试成绩分值为12分.今年学业考试全市平均分为...
天津中考录取分数线2020;天津中考录取分数线;天津市中考2020;天津中考成绩公布时间;天津中考分数线预测;天津中考;2019天津中考录取分数线;宝坻区2020中考分数线;2020绍兴中考录取分数线;天台中考录取分数线2020;2020天津各区中考人数;2019年中考最低分数线;宝坻一中录取分数线;天津市中专录取分数线;2020中考录取分数线;天津历年中考分数线;
2020年天津市中考志愿填报时间:学业成绩下发后
中考网整理了关于2020年天津市中考志愿填报时间:学业成绩下发后,希望对同学们有所帮助,仅供参考. 志愿填报 1.志愿填报工作在学业考试成绩下发后进...
天津中考什么时候出成绩;天津中考怎么报志愿;天津中考志愿填报时间;天津市中考2020年时间;天津中考报几个志愿;天津中考志愿表格式图片;2020年天津中考查分时间;天津中考志愿表填报范例;2020天津中考时间安排表;中考志愿怎么填;2020年中考志愿填报技巧;天津中考成绩公布时间;天津中考分数线;2019天津中考具体时间;2020年天津中考新规定;2019年中考成绩何时出;
天津2020年高考成绩查询开通(附查分入口)
另悉,根据《2020年天津市普通高等学校招生考试工作规定》,考生获知2020年高考成绩后,如对本人的成绩有异议,可于7月26日17时前申请成绩复核,逾期...
高考位次查询入口;天津高考分数线2020;天津考试院官网;天津高考状元2020;2020天津高考分数线预测;天津高考分数线2020一本线;天津高考分数线2019;天津高考分数线公布;天津报志愿分数线;河北高考分数线2020;天津高考分数线一本;天津高考录取率2020;2020高考查分;天津高考人数2020年;2020年高考分数线;天津今年高考分数线;
| 泡面番排行榜_十部泡面番推荐:看完整部动漫2021-09-22 |
| 2020恩施州经济排名_2019年度湖北恩施州各区2020-12-10 |
| h文排行榜_三本顶级开荤爽文,男主强取豪夺2023-09-22 |
| 福州2020中考初中排名_从一三附升学率看202020-12-01 |
| 上海人气美食排行榜_闯荡上海10年,美食主持2021-08-05 |
| 黑人男优排行_顶级黑人男演员前10排行榜,威2021-09-27 |
| 十大氢弹排名2020_全球十大核武器排行:俄罗2020-11-06 |
| 2021姓氏排行榜_2021百家姓最新排名一览2021-12-26 |
| 金华中考成绩2020排名_2020金华中考成绩公布2020-12-18 |
| 8005稀有冠号排行_8005的这些冠号记得收藏2022-12-08 |





