银品牌排行榜_银饰品牌加盟排名简介,十大银饰加盟品牌推荐
作者: 来源: 时间:2021年06月02日
银饰品牌加盟排名简介,十大银饰加盟品牌推荐
银饰品牌加盟排名简介,十大银饰加盟品牌推荐 一、老凤祥 投资费用60万上下 老凤祥隶属于上海老凤祥有限公司,主营产品有银饰、珠宝首饰等等,品种多样...
银饰品牌排行榜前十名,十大最受欢迎银饰品牌简介
银饰界十大品牌排行榜(以下排名不分先后): 一、Tiffany蒂芙尼 Tiffany,著名珠宝腕表品牌,美国设计的象征.1837年诞生于美国纽约. 蒂芙尼以钻石著称...
比亚迪夺第二 欧辉、银隆争第三 新能源客车品牌影响力6月排行榜
2020年6月国内10家新能源客车品牌新闻传播整体点评:在2020年6月(2020年6月1日-2020年6月28日)的四周内,国内10家主流新能源客车品牌的“第一影响...
十大银饰品牌排行榜
各个银饰品牌纷纷各显身手,开始走向品牌化的道路. 说起,大家能想到的银饰品牌肯定很多,比如蒂芙尼就是做银饰起家的,蒂芙尼还是925银的首创者.再...
新人必看全国十大银饰品牌潮人必备
[导读] 很多人喜欢银饰但是对银饰品牌了解甚少,下面小编分享全国十大银饰品牌,感兴趣的新人一起看看吧. 银饰品越来越多,人们对于金饰品牌了解颇多,...
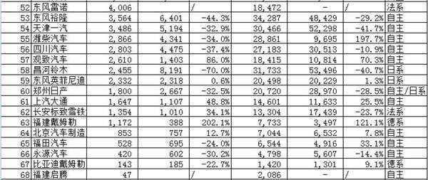
68家车企“银十”销量排行榜:自主品牌又笑了
根据乘联会最新数据,盖世汽车整理了2016年10月中国车企狭义乘用车批发销量排行榜.延续“金九”的火热,“银十”车市依然向好.数据显示,2016年10...
中国十大银饰品牌排行榜
中国十大银饰品牌排行榜1、周大福 十大银饰品牌,ctf2系出名门,是著名珠宝品牌周大福旗下的“年青新一代”.周大福在80年的发展历程中,始终推动着珠...
延伸阅读:
| 泡面番排行榜_十部泡面番推荐:看完整部动漫2021-09-22 |
| 2020恩施州经济排名_2019年度湖北恩施州各区2020-12-10 |
| h文排行榜_三本顶级开荤爽文,男主强取豪夺2023-09-22 |
| 福州2020中考初中排名_从一三附升学率看202020-12-01 |
| 上海人气美食排行榜_闯荡上海10年,美食主持2021-08-05 |
| 黑人男优排行_顶级黑人男演员前10排行榜,威2021-09-27 |
| 十大氢弹排名2020_全球十大核武器排行:俄罗2020-11-06 |
| 2021姓氏排行榜_2021百家姓最新排名一览2021-12-26 |
| 金华中考成绩2020排名_2020金华中考成绩公布2020-12-18 |
| 8005稀有冠号排行_8005的这些冠号记得收藏2022-12-08 |
新榜速递
最新专题





