钓鱼名人排行榜_中国淡水钓鱼明星积分榜(即时榜2021-04-30)
作者: 来源: 时间:2023年04月25日
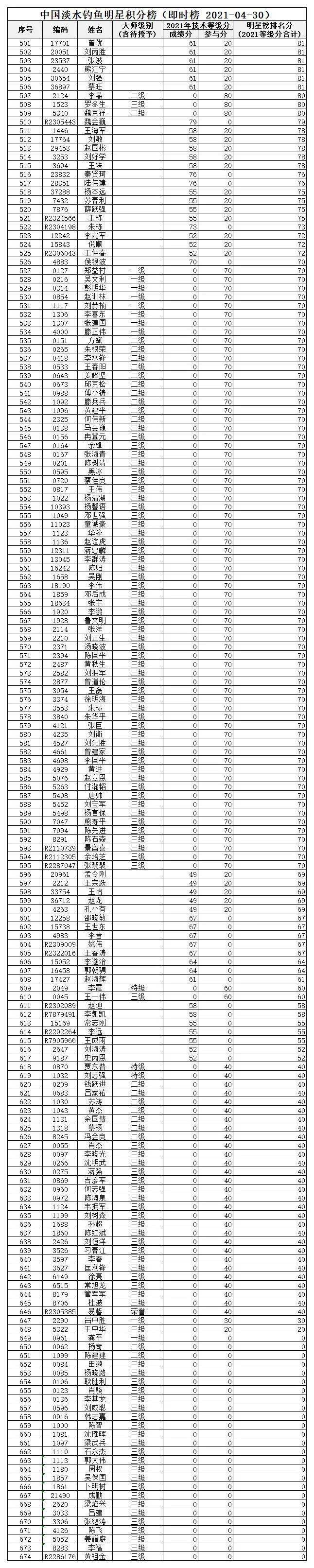
中国淡水钓鱼明星积分榜(即时榜 2021-04-30)
中国淡水钓鱼明星积分榜(即时榜 2021-04-30)… 原标题:中国淡水钓鱼明星积分榜(即时榜 2021-04-30) 中国淡水钓鱼明星积分榜(即时榜 2021-04-30) 责...
七大政要爱钓鱼,排名第一的竟是他!
NO.6 “钓鱼首相”丘吉尔二战时期,英国首相丘吉尔和美国总统罗斯福经常以钓鱼为名,行合作打击纳粹之实.战后丘吉尔未被人遗忘,继续执政,问其原因,他答道“最好在钓钩上放着鱼爱吃的东西.”丘吉尔的话一...
癌症,车祸,溺水,12天8位演艺名人相继离世,一路走好!
令人心痛的是,最近12天,又有8位演艺界名人相继去世. 希望看到这篇文章的大家,能够珍惜时间,关爱亲人,拥有灿烂的一生. 01.程志,77岁 程志是我国知名男高音歌唱家. 1946年,程志出生于黑龙江...
几位中国钓鱼界的泰斗人物,你认识几个
有普通的钓鱼人也有钓鱼界中的国家级竞钓高手,下面介绍几位小编心中的几位钓鱼高手中的灵魂人物,你们都认识吗? 化绍新 化老爷子可以说玩台钓的无人...
钓鱼也能拿奖牌,你也可以是冠军!“渔获名人堂周榜”
卡斯丁渔获名人堂,你参加了吗? 卡斯丁渔获名人堂第16周榜单 K哥评: · 本周第一位首次参加就入榜的钓友出现了,恭喜“西北狼”! · “小丑”本周鲈鱼...
中国淡水钓鱼明星积分榜(截至20210601)_腾讯新闻
中国淡水钓鱼明星积分榜(截至20210601) 中国淡水钓鱼明星积分榜钓鱼资讯垂钓分享 微 信号:海峡钓鱼 一起发现钓鱼的快乐
延伸阅读:
| 泡面番排行榜_十部泡面番推荐:看完整部动漫2021-09-22 |
| 2020恩施州经济排名_2019年度湖北恩施州各区2020-12-10 |
| h文排行榜_三本顶级开荤爽文,男主强取豪夺2023-09-22 |
| 福州2020中考初中排名_从一三附升学率看202020-12-01 |
| 上海人气美食排行榜_闯荡上海10年,美食主持2021-08-05 |
| 黑人男优排行_顶级黑人男演员前10排行榜,威2021-09-27 |
| 十大氢弹排名2020_全球十大核武器排行:俄罗2020-11-06 |
| 2021姓氏排行榜_2021百家姓最新排名一览2021-12-26 |
| 金华中考成绩2020排名_2020金华中考成绩公布2020-12-18 |
| 8005稀有冠号排行_8005的这些冠号记得收藏2022-12-08 |
新榜速递
最新专题

