2019高考成绩排名_驻马店高考成绩排名(2)
作者: 来源: 时间:2021年07月23日
2019高考成绩已出炉,近13万考生过一本
2019年安徽高考文科 理科成绩排名 一分一段表
2019年高考分数百强大学排名,文科清华第一,理科北大第一
2019年高考分数百强大学排名,文科清华第一,理科北大第一
2019北京高考理科成绩排名前十学校
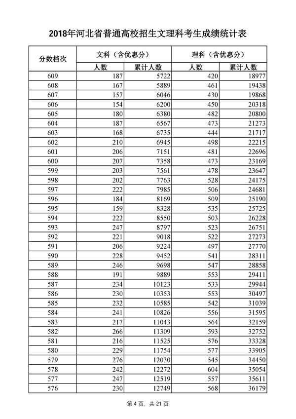
表情 2019河北高考分数段人数成绩排名统计表 一分一段表 2 高考信息网 表情
2019年安徽高考文科 理科成绩排名 一分一段表
2019 年高考成绩出炉,你想说些什么
2019山西高考一分一段表 文理科成绩排名分数段统计表
2019高考,哪些省市分数先会很高 高考成绩分数与排名哪个重要
2019河北高考一分一段表,文科理科成绩排名榜单
2019山西高考一分一段表 文理科成绩排名分数段统计表
2019山西高考一分一段表 文理科成绩排名分数段统计表
全省高考成绩排名公布,深圳成教育逆袭范本
延伸阅读:
| 手机cpu性能排行_手机cpu性能排行榜2023-08-04 |
| 佛祖的排名_佛教佛祖排名一览表2021-08-20 |
| 伦理片排名_2017年伦理片免费观看2021-07-24 |
| 火山主播排名_小火山主播揪痧视频2021-08-21 |
| 步兵女神排行_业界十位岛国知名步兵女神2023-09-06 |
| 环太平洋机甲排名_环太平洋机甲图片2021-08-21 |
| gv排名_日本gv男演员名字大全2021-07-23 |
| 乳量排名_神奇宝贝乳量排名图片2021-09-18 |
| 姓叶排名_姓叶的微信头像图片2021-09-19 |
| 斗鱼土豪排名_斗鱼主播祖祖土豪定制2021-09-20 |
新榜速递
最新专题













