成绩排名单_12星座念书成绩排名(2)
作者: 来源: 时间:2021年08月21日
长沙2018公务员考试综合成绩及排名公布 名单 ,有你认识的吗
长沙2018公务员考试综合成绩及排名公布 名单 ,有你认识的吗
你的成绩, 在衡水中学能排多少名 衡中高三年级成绩排名表曝光
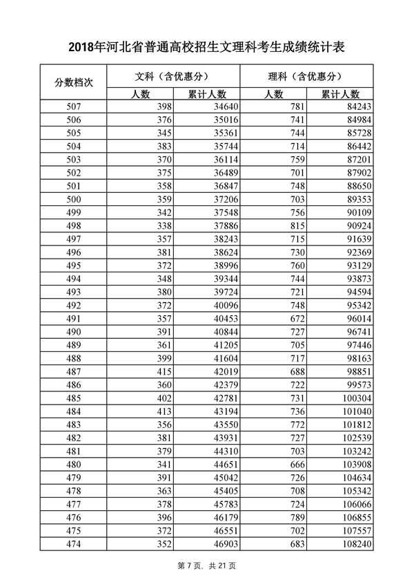
2019河北高考一分一段表,文科理科成绩排名榜单
多少分能上这些大学 高校预估分数线和洛阳招生老师电话来了
长沙2018公务员考试综合成绩及排名公布 名单 ,有你认识的吗
可查分了 广西事业单位统考成绩发布 查排名 看对手分数 入面名单...
2020年上海高考各类别成绩分布表 你在全市排第几
2016年上考面试名单各岗位面试人员笔试成绩排名表
你的成绩, 在衡水中学能排多少名 衡中高三年级成绩排名表曝光
EXCEL表格对成绩单排名 排序的方法
长沙2018公务员考试综合成绩及排名公布 名单 ,有你认识的吗
你的成绩, 在衡水中学能排多少名 衡中高三年级成绩排名表曝光
2019届南昌高三摸底考试成绩解读 附各学校成绩排名表
延伸阅读:
| 手机cpu性能排行_手机cpu性能排行榜2023-08-04 |
| 佛祖的排名_佛教佛祖排名一览表2021-08-20 |
| 伦理片排名_2017年伦理片免费观看2021-07-24 |
| 火山主播排名_小火山主播揪痧视频2021-08-21 |
| 步兵女神排行_业界十位岛国知名步兵女神2023-09-06 |
| 环太平洋机甲排名_环太平洋机甲图片2021-08-21 |
| gv排名_日本gv男演员名字大全2021-07-23 |
| 乳量排名_神奇宝贝乳量排名图片2021-09-18 |
| 姓叶排名_姓叶的微信头像图片2021-09-19 |
| 斗鱼土豪排名_斗鱼主播祖祖土豪定制2021-09-20 |
新榜速递
最新专题












