560分理科上什么大学排行榜_500分左右的理科大学(5)
作者: 来源: 时间:2023年08月06日
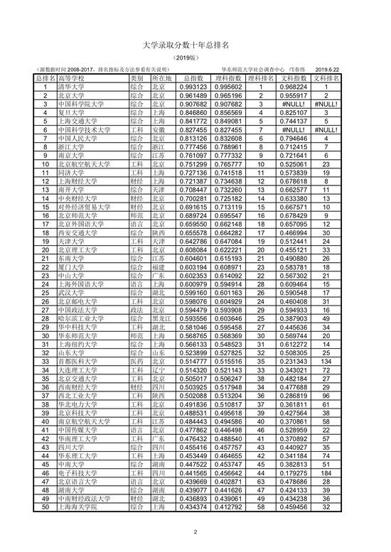
2019中国大学录取分数排行 清华文理双冠
2019年中国大学录取分数排行榜 清华文理均为第一
最新 2018年US.NEWS美国最佳大学榜单出炉
2022年河南有多少考生能上985211大学
2016广报大学一流学科排行榜 文 理 工学科排行深度分析
2019年中国大学录取分数排行榜 清华文理均为第一
河南考生分数560左右想去上海能上哪个大学,理科生
延伸阅读:
| 手机cpu性能排行_手机cpu性能排行榜2023-08-04 |
| 佛祖的排名_佛教佛祖排名一览表2021-08-20 |
| 伦理片排名_2017年伦理片免费观看2021-07-24 |
| 火山主播排名_小火山主播揪痧视频2021-08-21 |
| 步兵女神排行_业界十位岛国知名步兵女神2023-09-06 |
| 环太平洋机甲排名_环太平洋机甲图片2021-08-21 |
| gv排名_日本gv男演员名字大全2021-07-23 |
| 乳量排名_神奇宝贝乳量排名图片2021-09-18 |
| 姓叶排名_姓叶的微信头像图片2021-09-19 |
| 斗鱼土豪排名_斗鱼主播祖祖土豪定制2021-09-20 |
新榜速递
最新专题




