公办专科学校排名_5所排名靠前的公办专科(高职),综合实力不比本科差
作者: 来源: 时间:2020年11月24日
5所排名靠前的公办专科(高职),综合实力不比本科差,推荐报考
淄博职业学院,是一所公办综合类大学,是山东省第一批优质专科高等职业院校,学校重视教学师资队伍,拥有8名省级教学名师、2个国家级优秀教学团队,...
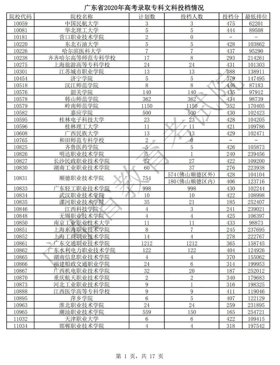
公办专科基本一次性满档!2020高考文理专科投档线公布!
公办专科院校生源情况良好,特别是国家示范性高职院校及省示范校等高职院校基本上一次性满档,投档线都比较高,个别学校投档线甚至超过本科录取最低分...
湖北省专科院校排名及2020年投档分数线 共有97所院校
其他均为公办院校. 湖北省专科院校排名及2020年投档分数线(理科高职联办本科类) 湖北省专科院校排名及2020年投档分数线(理科高职联办本科类) 湖...
湖南公办专科大学名单
对于在高考的时候,想要报考湖南公办专科院校的同学来说,知道湖南公办专科学校的名单有哪些是非常重要的,小编整理了相关信息,希望会对大家有所帮助...
2020河南专科大学最新排名
可以算是公认的河南省最好的公办专科大学. 2019年,黄河水利职业技术学院不仅入选教育部“双高计划”高水平学校建设A档院校,还入选了国家优质专科高...
全国最好的大专院校10大专科大学排名
对于分数没有达到本科线又不想复读的考生来说,一个好的专科院校也是也是不错的选择.那么本期,小编就为大家整理了2020全国最好的十大专科院校,并...
山东的这5所公办专科学校,就业好,考上不差一些本科生
财经类公办专科山东商业职业技术学院,是经教育部批准设立的省属高职院校.2019年12月,被教育部、财政部列入第一类高水平学校建设单位(A档)....
河北省工程造价专业专科学校排名 39所大学 低分只能报民办
仅有一所公办专科院校可以报考,其他院校均为民办,具体这些院校2019年录取分数线等如下. 河北省工程造价专业专科学校排名(2019年省内理科最低录取...
延伸阅读:
| 泡面番排行榜_十部泡面番推荐:看完整部动漫2021-09-22 |
| 2020恩施州经济排名_2019年度湖北恩施州各区2020-12-10 |
| h文排行榜_三本顶级开荤爽文,男主强取豪夺2023-09-22 |
| 福州2020中考初中排名_从一三附升学率看202020-12-01 |
| 上海人气美食排行榜_闯荡上海10年,美食主持2021-08-05 |
| 黑人男优排行_顶级黑人男演员前10排行榜,威2021-09-27 |
| 十大氢弹排名2020_全球十大核武器排行:俄罗2020-11-06 |
| 2021姓氏排行榜_2021百家姓最新排名一览2021-12-26 |
| 金华中考成绩2020排名_2020金华中考成绩公布2020-12-18 |
| 8005稀有冠号排行_8005的这些冠号记得收藏2022-12-08 |
新榜速递
最新专题



