2020抚州中考录取重_2020抚州南城县普通高中中考录取分数线
2020抚州南城县普通高中中考录取分数线
新东方中考网为广大中考生整理了2020抚州南城县普通高中中考录取分数线,供大家参考.本文主要内容是2020抚州南城县普通高中中考录取分数线.
2020年江西抚州中考录取分数线(已公布)
2020年江西抚州中考高中招生录取分数线公布 一、统招生录取分数线.根据市教育体育局《关于做好临川教育集团学校2020年高中招生工作的通知》(抚教体中...
预计2020中考分数线;江西省抚州市中考分数线;抚州中考总分多少2020;江西录取分数线2020;2020中考录取分数线;抚州中考分数线;江西抚州中考分数线;2019抚州三中录取分数线;江西省中考2020总分;2019江西南昌中考分数线;江西中考录取分数线表;
2020抚州临川各中学中考录取分数线公布
新东方中考网为广大中考生整理了2020抚州临川各中学中考录取分数线公布,供大家参考.本文主要内容是2020抚州临川各中学中考录取分数线公布.
抚州一中2020录取分数线;抚州实验学校中考成绩;抚州三中多少分才能进去;2003年抚州中考总分;2019抚州中考分数线;
2020年江西抚州中考高中招生录取分数线公布
一、统招生录取分数线.根据市教育体育局《关于做好临川教育集团学校2020年高中招生工作的通知》(抚教体中招字〔2020〕6号)精神,按照抚州一中、临...
二中录取分数线2020;江西中考分数线;南城二中中考分数线2019;江西中考总分多少2019;2020年江西高中录取线;2020年临川一中自主招生;2020年二中分数线;考二中最低多少分;二中录取分数线2019;三明二中录取分数线2020;衡水二中录取分数线2020;新建二中录取分数线2020;乐亭二中录取分数线2020;阳谷二中录取分数线2020;蚌埠二中录取分数线2020;于都二中录取分数线2020;
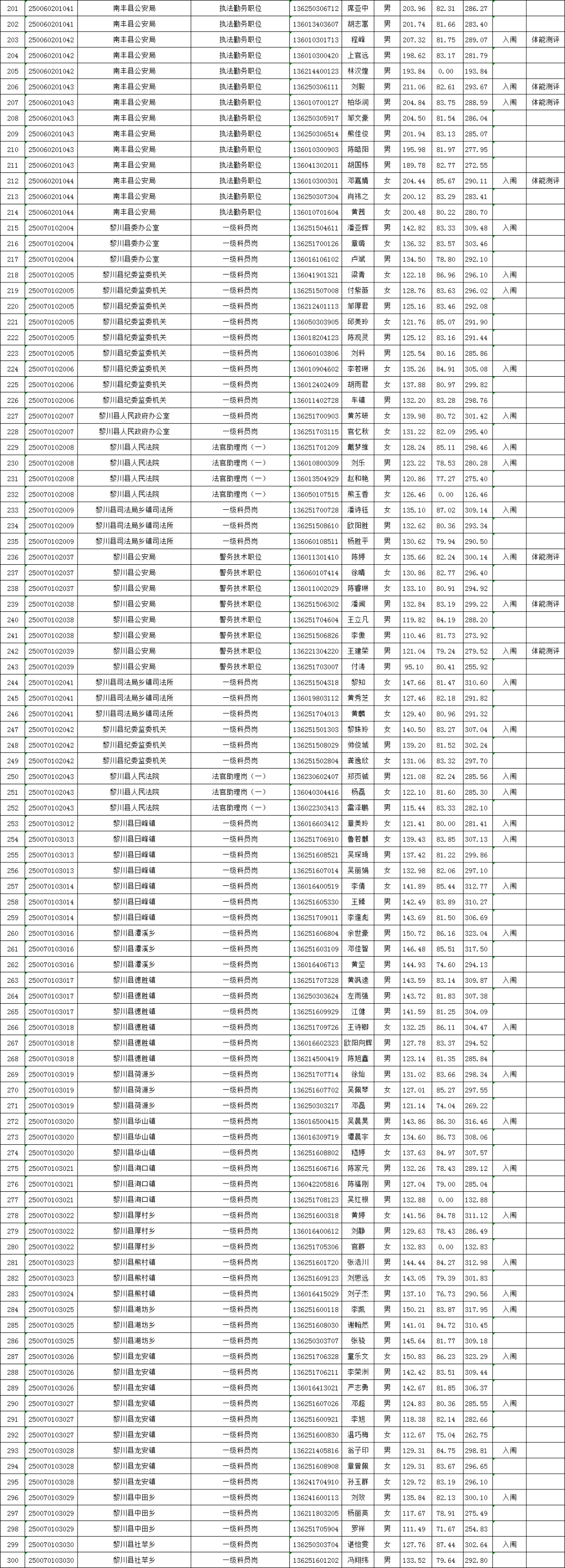
抚州市2020年度考试录用公务员 入闱体检(体能测评) 名单
体检时还须带本人2寸免冠近照1张,体检费,所有考生须按时到达指定地点集合,体能测评合格后方能进入体检程序. 1.抚州市2020年度公…
抚州市2020年度考试录用公务员入闱体检(体能测评)人员名单公示及...
抚州市2020年度考试录用公务员 入闱体检(体能测评)人员 名单公示 及体检(体测)通知 根据《江西省2020年度考试录用公务员公告》相关规定, 现将抚州...
江西抚州:抗疫一线医务人员子女参加中考加20分优待录取
2月19日,江西抚州市教育体育局印发了《抚州市防控新冠肺炎疫情一线医务人员子女教育优待工作实施办法》(以下简称《实施办法》). 《实施办法》称,...
2020年抚州市考试录用公务员面试人员递补公告
报名时间:,请考生多加关注.更多关于2020省考,江西省考,江西公务员,公务员面试,抚州公务员招聘考试的内容,请关注(江西公务员考试频道/江西人...
| 泡面番排行榜_十部泡面番推荐:看完整部动漫2021-09-22 |
| 2020恩施州经济排名_2019年度湖北恩施州各区2020-12-10 |
| h文排行榜_三本顶级开荤爽文,男主强取豪夺2023-09-22 |
| 福州2020中考初中排名_从一三附升学率看202020-12-01 |
| 上海人气美食排行榜_闯荡上海10年,美食主持2021-08-05 |
| 黑人男优排行_顶级黑人男演员前10排行榜,威2021-09-27 |
| 十大氢弹排名2020_全球十大核武器排行:俄罗2020-11-06 |
| 2021姓氏排行榜_2021百家姓最新排名一览2021-12-26 |
| 金华中考成绩2020排名_2020金华中考成绩公布2020-12-18 |
| 8005稀有冠号排行_8005的这些冠号记得收藏2022-12-08 |



